Hyundai Santa Fe (TM): Motor Driven Power Steering / Repair procedures

A/S Repair produres [C-MDPS]
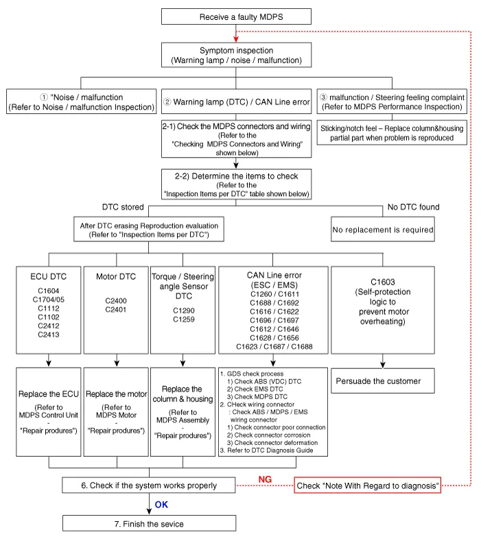
MDPS System A/S Workflow

â‘  Noise / malfunction Inspection

â‘¡ Warning lamp (DTC) / CAN Line error
2 - 1 Checking Connectors and Wiring
1.
Checking Connectors and Wiring.
Check for damage, push-back, or improper connection in each connector and wiring.
(1)
Check the wiring on the vehicle side.
–
Check for open / short - circuit due to faulty connection, damage, or foreign substance.

(2)
Check the wiring on the ECU side (motor 3 - phase power).
–
Check for open / short - circuit due to faulty connection, damage, or foreign substance.

(3)
Check the motor connector.
–
Terminal Expansion and damage

  
•
Must be replaced the MDPS motor if occur terminal expansion and damage.
(4)
Check the motor wiring.

  
•
Must be replaced the MDPS motor if occur damage or problem.
(5)
Remove the grommet (A) and then check the wiring on the TAS side (B) and ECU side (C).
–
Check for damage, push-back, or improper connection in each connector and wiring.

  
Must be replaced the MDPS assembly if occur damage or problem.
Check the TAS wiring in case of C1259/C1290 DTC.
2 - 2 Inspection Items per DTC
DTC
Problem
First analysis method
How to repair
C1290
Torque sensor signal error
First erase DTC, check connector connection.
In case of reoccurrence, replace column & housing.

C1112
Torque sensor voltage error
Check connector between torque sensor and ECU.
In case of reoccurrence, replace ECU.
C1705
ECU hardware error
First erase DTC and then check, check ECU connector.
C1604
ECU over/discharge error
C2413
ECU hardware error
C2400
Motor signal error
IIn case of reoccurrence, replace motor.
C2401
Motor circuit error
C2412
Motor voltage supply error
First erase DTC and check, Check ECU/motor connector.
First replace ECU. In case of reoccurrence, replace motor.
C1259
Angle sensor signal error
After Resetting zero point & erasing DTC, check connector connection condition.
In case of reoccurrence, replace column & Housing.
C1261
Zero-setting error
After Resetting zero point, recheck.
Reset the zero-setting.
C1102
Battery voltage problem
Check battery voltage condition.
Recharge battery voltage.
C1696,C1697
SPAS signal error
Check SPAS.
Erase DTC (MDPS is not to be replaced).
C1612,C1646
TCU signal error
Check TCU.
C1628,C1656
Instrument cluster signal error
Check instrument cluster.
C1692,C1693
VSM signal error
Check VSM.
C1260
Angle sensor signal error
After resetting the angle, recheck. If C1259 does not occur, check CAN line.
Reset Angle sensor. Erase DTC.
C1611
CAN time out EMS
1. Check G-SCAN condition.
2. Check connector connection.
3. Check ECU CAN line.
4. Check MDPS ground line.
Check the EMS CAN Line.
C1616
CAN BUS OFF
Check the chassis CAN Line.
C1622
Vehicle speed signal error
Check the EMS (Engine ECU).
C1623,C1687,C1688
Can time out Steering angle sensor
1. Check MDPS Power Connector & FUSE
2. Check MDPS Ground line
3. Check MDPS ECU / VSM CAN line
4. Communication status with diagnostic tool
In case of reoccurrence, replace ECU
(Heavy steering and no communication)

â‘¢ MDPS Performance Inspection
1.
Inspect steering angle and DTCs relevant to the steering system.
2.
Inspection for heavy steering effort
(1)
Inspect tire pressure and width.
(2)
Check DTCs relevant to the CAN communication error.
(3)
Check the wheel alignment.
â‘£ MDPS common problems
Case 1
Case 2
Case 3

U-Joint noise
Clock spring noise
DAB / Wire noise
Retighten the bolt
Replace clock spring
Rearrange and replace DAB

Case 4
Case 5
Case 6

Multifunction switch noise
MB nut mount defect
M10 nut mount defect
Replace multifunction switch
Retighten nut
Retighten nut

Case 7
Case 8

Cowl top bolt mount defect
Cowl bar nut mount defect
Retighten cowl top bolt
Replace clock spring

  
Cautions to be taken when handling the MDPS (Motor Driven Power Steering)
•
Failure occurs due to internal damage because of the drop of and shock and excessive external force on the new partial component.
→ Be cautious of shock on the partial component and replace the damaged part (due to drop, etc.) with a new one.
•
When fastening the steering, excessive impact may result in twisting the center point of the torque sensor.
•
When removing/installing the connector the wiring may be damaged (deformed) by excessive external force.
•
Be cautious when storing and replacing the partial components under the abnormal temperature and humidity conditions.
A/S Repair Procedures [R-MDPS]
Column & Housing Noise Repair Guide

R-MDPS Warning lamp Diagnosis Guide

Inspection Items per DTC
NO
DTC
Problem
Items to check
1
C110117
High battery voltage
1. Generator
2. Battery
3. MDPS ECU
2
C110216
Low battery voltage
1. Generator
2. Battery
3. MDPS ECU
3
C110921
IG1 voltage error
1. Generator
2. IGN Line
3.MDPS ECU
4
C111201
Torque sensor supply voltage error
1. MDPS ECU
5
C120286

Wheel speed sensor signal error
1. CAN Line
C120586
2. MDPS ECU
C120886
3. Wheel sensor line
C121186
6
C125901
Steering angle circuit error
1. MDPS ECU
C125929
C125938
7
C126154
Steering angle sensor zero point error
1. Whether to initialize steering angle
2. Battery
8
C126204
Temperature sensor error
1. Temperature sensor
(MDPS ECU)
9
C129002
Torque sensor main signal error
1. Main torque sensor
2. Torque sensor connector
10
C16034B
Out put descent (Prevent overheating)
1. MDPS ECU
11
C160404
ECU hardware error
1. MDPS ECU
12
C160604
MDPS ECU software error
1. MDPS ECU
13
C161187
ECU CAN communication response delay
1. Check engine ECU CAN line  
2. Check CAN Line
14
C161386
ECU CAN communication signal error
1. Check engine ECU CAN line  
2. Check CAN Line
15
C161487
HCU CAN communication response delay
1. Check engine ECU CAN line  
2. Check CAN Line
16
C161688
CAN BUS error
1. Check CAN Line
17
C161C86
HCU CAN communication signal error
1. Check engine ECU CAN line  
2. Check CAN Line
18
C162887
CLU CAN communication response delay
1. CAN Line
2. MDPS ECU
3. Cluster
19
C162986
CLU CAN  communication signal error
1. CAN Line
2. MDPS ECU
3. Cluster
20
C163386
CLU CAN communication signal error
1. CAN Line
2. MDPS ECU
3. Cluster
21
C165987
CAN SAS signal not entered
1. SAS Delivery UNIT
2. CAN Line
22
C169287
VSM CAN signal not entered
1. CAN Line
2. MDPS ECU
3. BCM (IPM)
23
C169386
VSM CAN signal error
1. CAN Line
2. MDPS ECU
3. BCM (IPM)
24
C169687
PA CAN signal not entered
1. CAN Line
2. MDPS ECU
3. SPAS ECU
25
C169786
PA CAN signal error
1. CAN Line
2. MDPS ECU
3. SPAS ECU
26
C170004
Specification recognition not applied (BYTE)
1. MDPS ECU
27
C170255
Specification recognition not applied (Variant)
1. Select regional specifications
28
C170401
ECU safety relay error
1. MDPS ECU
29
C170504
ECU spare charge circuit error
1. Motor relay
2. MDPS ECU
30
C171101
Abnormal power OFF accumulate
1. Generator
2. Battery
3. MDPS ECU
31
C180487
LKAS CAN signal not entered
1. CAN Line
2. MDPS ECU
3. LKAS ECU
32
C180586
LKAS CAN signal error
1. CAN Line
2. MDPS ECU
3. LKAS ECU
33
C181483
CAN SAS signal error
1. SAS Delivery UNIT
C181486
1. CAN Line
34
C240162
Motor circuit error
1. Motor location sensor
2. Motor connector
35
C241216
Motor short/break
1. Motor     
C241262
2. Motor connector
36
C186687
ICSC CAN Not received
1. ICSC (Integrated controller)
37
C166B87
Wheel speed sensor signal Not received
1. Wheel speed sensor
2. CAN Line
38
C16B286
Wheel speed sensor signal error
1. Wheel speed sensor
2. CAN Line
39
C16BF64
Wheel speed sensor monitoring error
1. Wheel speed sensor
2. CAN Line
40
C241319
Motor current error
1. Motor current sensor
C241328
C241396

Checking Connectors and Wiring
1.
Checking Connectors and Wiring.
Check for damage, push-back, or improper connection in each connector and wiring.
(1)
Check the wiring on the vehicle side.
- Check for open / short - circuit due to faulty connection, damage, or foreign substance.

Classification
Pin no
Pin name
MDPS Power
1
Battery (-)
2
Battery (+)
MDPS Unit
1
-
2
-
3
IG 1
4
C-CAN [High]
5
C-CAN [Low]
6
-

  
The following phenomena are not malfunctions when the MDPS warning lamp is not lit.
•
There is no auxiliary steering force temporarily during the MDPS system self-diagnosis time (about 2 seconds) immediately after the engine starts, but this is not a malfunction.
•
There is noise due to relay connection when the engine is on or off, but this is a normal operation sound.
•
There is noise caused by motor rotation when operating the steering wheel in a stationary or low-speed driving state, but this is a normal operating sound.
MDPS(Motor Driven Power Steering) Handling precautions
1.
A failure may occur due to the internal damage when a new partial part is dropped, impacted or excessive external load is applied.
→ If a partial part is impacted or is dropped, replace it with a new part.
2.
If excessive impact is applied when assembling the steering wheel, center point of the torque sensor may be warped.
→ Caution is needed when tightening by excessive impact.
3.
Be careful for the damage to the wiring due to deformation, when detaching/attaching the contactor or excessive external force is applied.
→ Excessive insertion of the connector or using after removal is prohibited.
4.
Caution is needed for partial part storage and replacement work under abnormal condition of the temperature and humidity.

    Schematic Diagrams Harness Connector Type Pin No Description MDPS Power 1 Battery - 2 Battery + MDPS Unit 1 - 2 - 3 IG 1 4 C-CAN [High] 5 C-CAN [Low] 6 -

    Replacement 1. Turn the ignition switch OFF and disconnect the battery negative (-) cable. 2.

    Other information:

    Hyundai Santa Fe (TM) 2019-2023 Service and Repair Manual: Rear Occupant Alert

    Description and operation Description The system detects the passenger in the vehicle and prevents the driver from getting off the vehicle with the passenger in the back. - 1st warning: If you open the driver's door after you open and then close the rear passenger and turn the engine off, the system provides warn

    Hyundai Santa Fe (TM) 2019-2023 Service and Repair Manual: Button Engine Start System

    Description and operation Description System Overview The System offers the following features: – Changing the state of engine ignition and power by using the start button. – Controlling external relays for ACC / IGN1 / IGN2 terminal switching and STARTER, without use

    Categories

     
    Copyright © 2025 www.hsafe4.com - 0.0234